OCCUPATION AND HEALTH ›› 2026, Vol. 42 ›› Issue (3): 312-316.

• Treatise • Previous Articles     Next Articles

Monitoring and analysis of benzene series compounds in workplaces of different industries in Jinshan District of Shanghai City

WU Yun, YAO Lihong, ZHOU Xuesong, WU Xiaobin, YE Yulong()   

  1. Shanghai Jinshan District Center for Disease Control and PreventionShanghai 200540,China
  • Received:2025-06-05 Revised:2025-07-16 Online:2026-02-01 Published:2026-03-06
  • Contact: YE Yulong,E-mail:yeyulong99@163.com

Abstract:

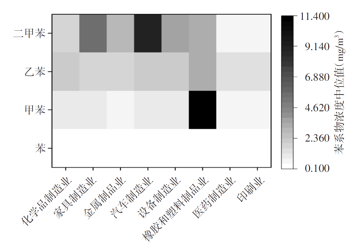
Objective To understand the concentration levels of benzene series substances in workplaces in Jinshan District of Shanghai City,and to grasp the types and concentration characteristics of benzene series substances in different industries' workplaces,providing a basis for formulating occupational disease prevention and control strategies. Methods Fixed-point and individual sampling were conducted in 40 enterprises involving benzene series substances in Jinshan District from 2023 to 2024,and the substances were detected by gas chromatography. The results of fixed-point and individual sampling were compared,and the types and concentration characteristics of benzene series substances in different industries were analyzed. Results A total of 40 enterprises were monitored. The pass rate was 70.0% in 2023 and 75.0% in 2024(P>0.05). In the fixed-point sampling,the pass rate of toluene(99.3%) was higher than that of xylene(82.4%)(P<0.05). In the individual sampling,all four benzene series substances were qualified. The detection rate of benzene and toluene in individual sampling were higher than that in fixed-point sampling. The concentration of fixed-point sampling in the chemical manufacturing industry,furniture manufacturing industry,metal products industry,automotive manufacturing industry,and rubber and plastic products industry were higher than that of individual sampling. The over-standard sampling points were mainly distributed in the chemical manufacturing industry and automotive manufacturing industry. Among all the monitored industries,the detection rates of toluene,ethylbenzene and xylene were relatively high. Only toluene had a relatively high detection rate in the pharmaceutical manufacturing industry. The concentration of xylene was relatively high in the automotive manufacturing industry and furniture manufacturing industry,while the concentration of toluene was relatively high in the rubber and plastic products industry. The concentration of all benzene series substances was relatively low in the pharmaceutical manufacturing industry and printing industry. The detection rate of benzene was lower than that of the other three benzene series substances,and the concentration of benzene was relatively low in all industries. Conclusion The qualified rate of individual sampling for benzene series monitoring in Jinshan District of Shanghai City is 100.0%,and the occupational exposure risk of benzene series in workers is low. The results of exceeding the standard are all from the fixed point sampling data,so the fixed point sampling and monitoring of enterprises should be strengthened. Focus on the chemical manufacturing industry and develop monitoring programs according to the characteristics of different industries.

Key words: Benzene series, Workplace, Fixed-point sampling, Individual sampling, Industry

CLC Number: